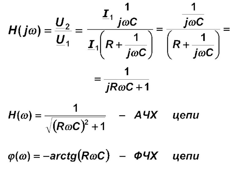
Фчх передаточной функции