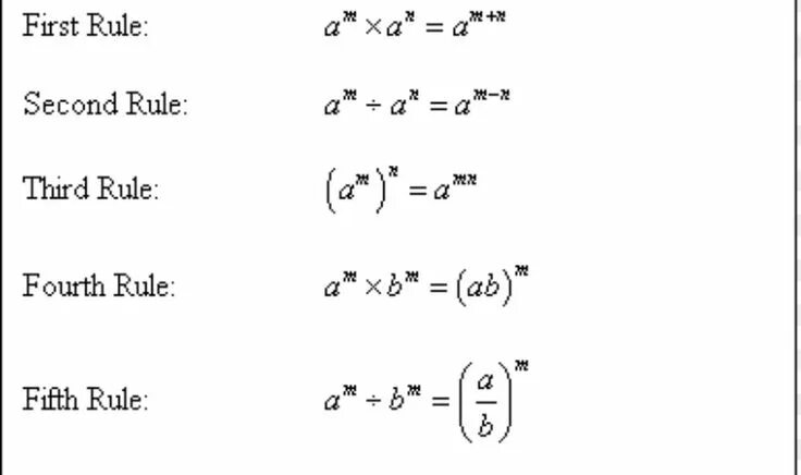
Fast 4 rule