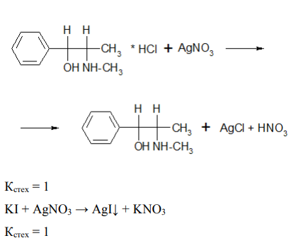
Фармакопейный метод количественного определения калия йодида