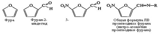
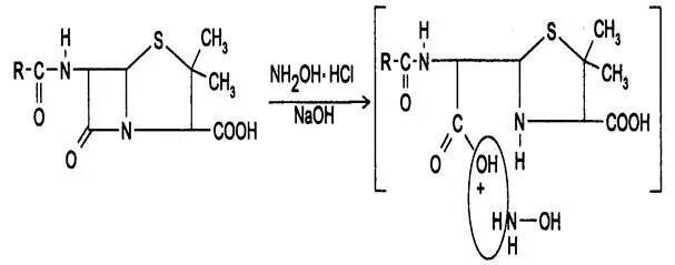
Фармакопейный метод количественного определения фурацилина