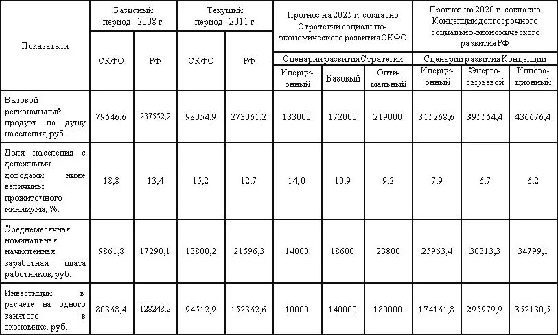
Фактически достигнутые значения