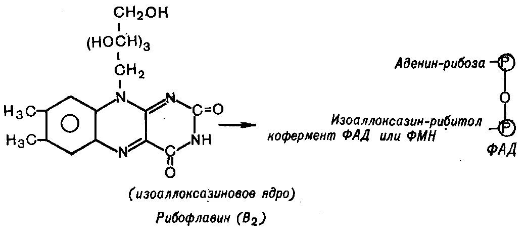
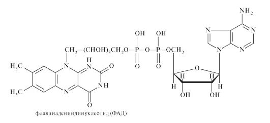
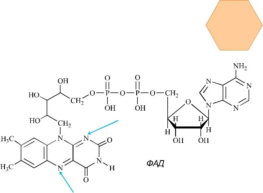
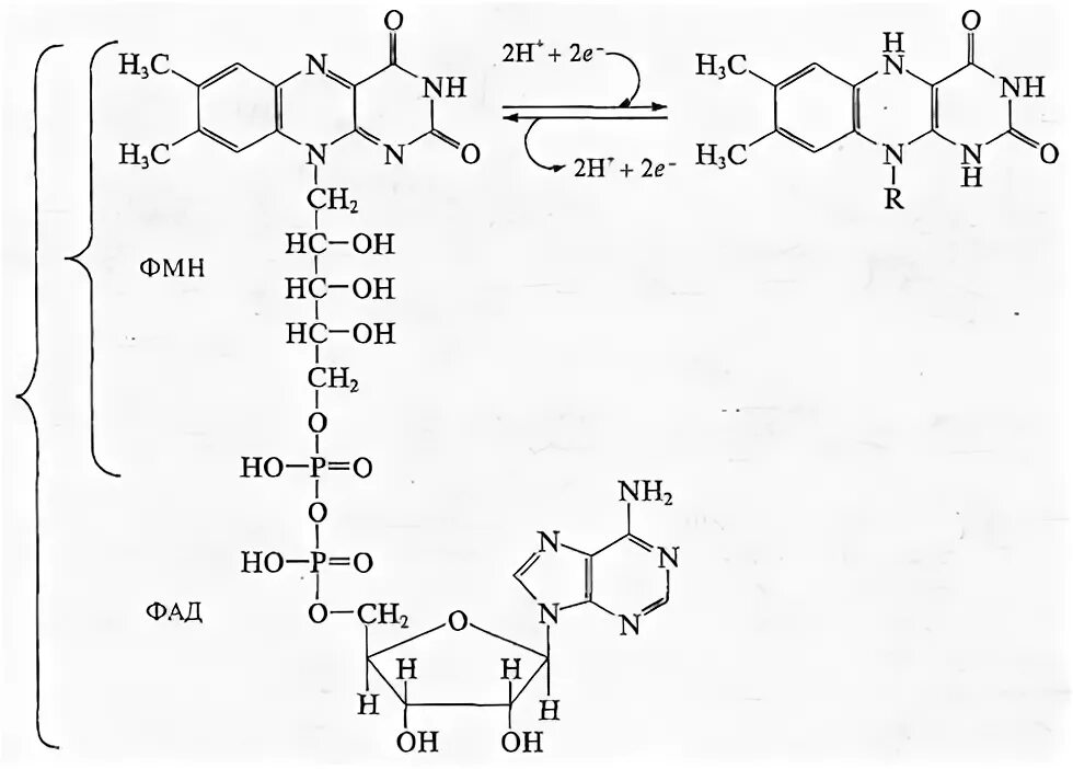
Фад является коферментом фермента