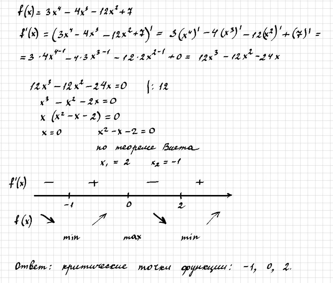
F x x3 2x2 x 2