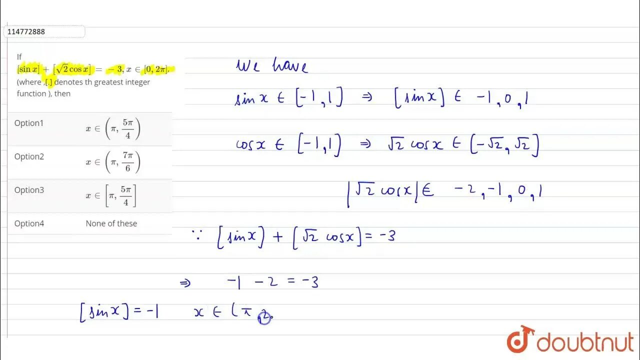
F x sin x 8x 3