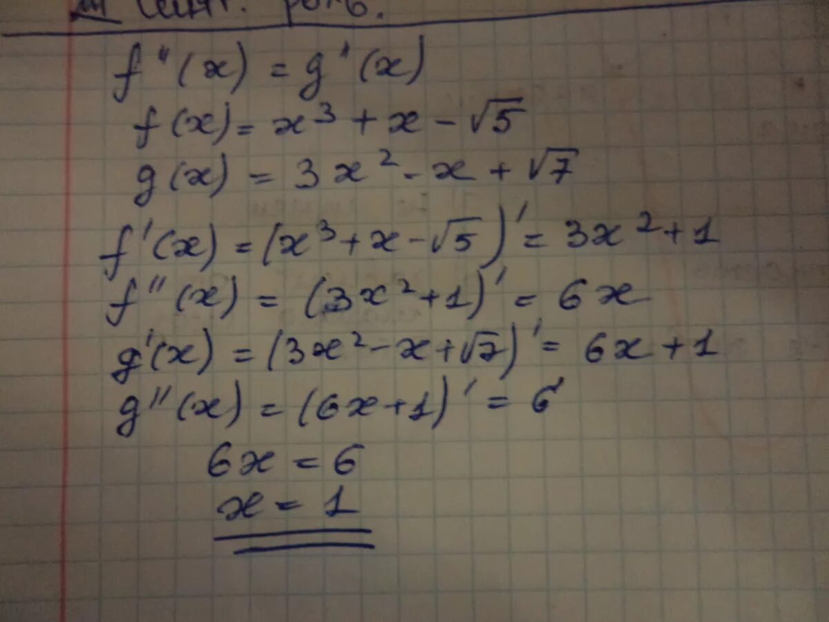
F x 8 x 16