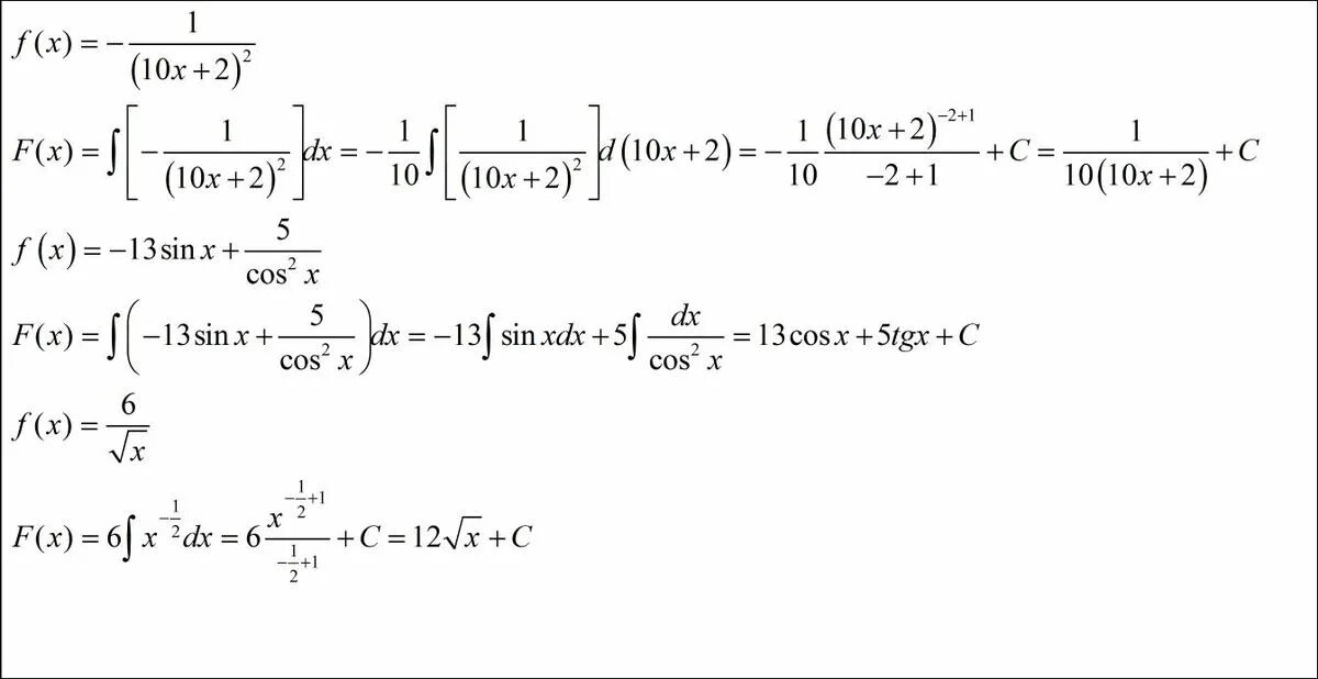
F x 2x 5 первообразная функция