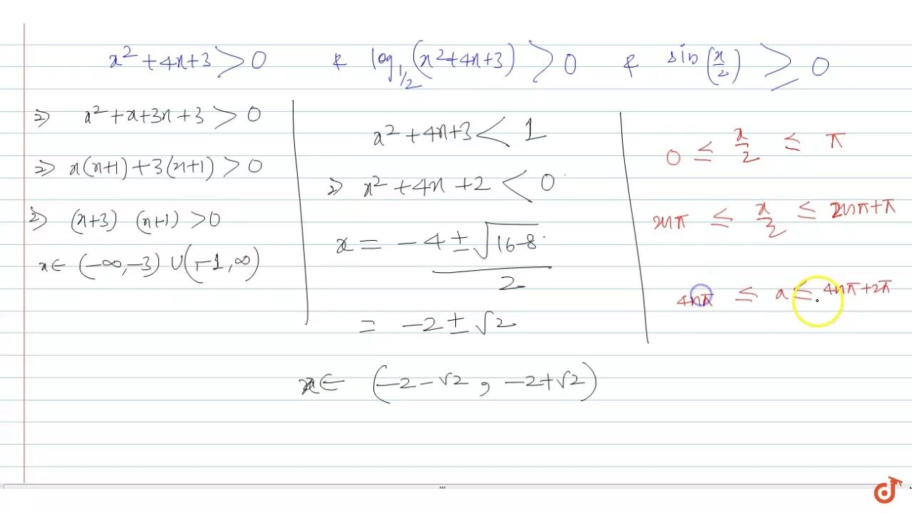
F x 2 x log2 x