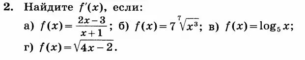
F x 2 9x 3x2 x3