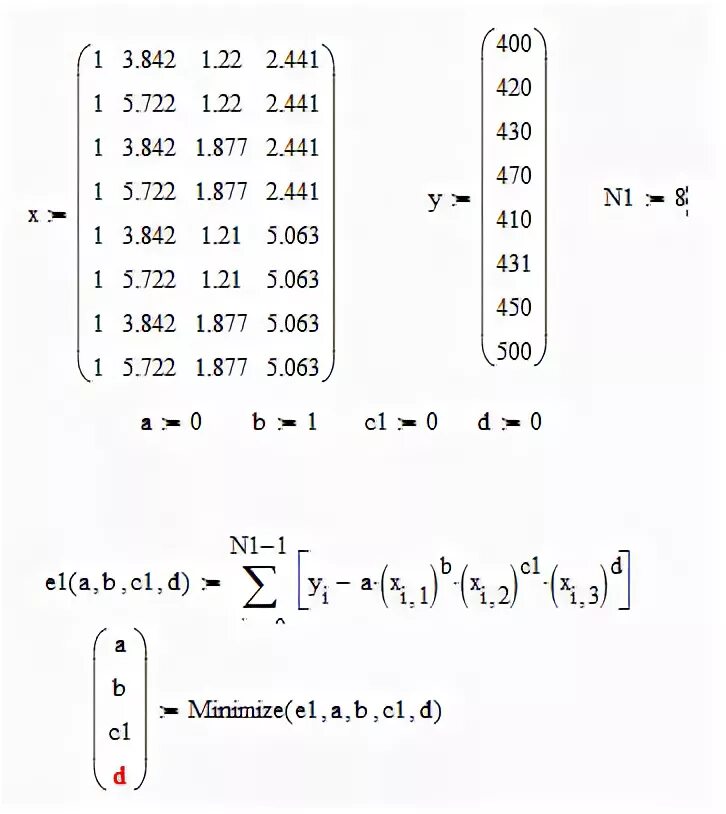
Эта переменная не определена mathcad ошибка