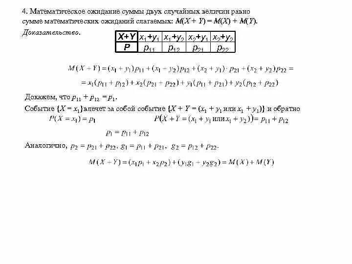
Если сумма двух произвольных