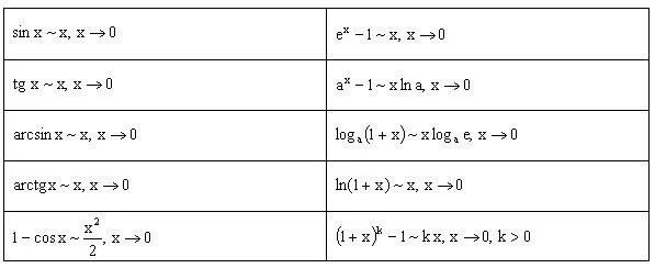
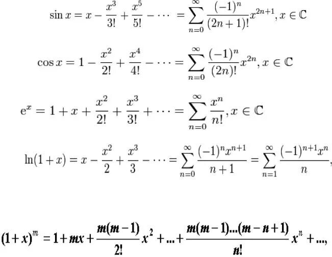
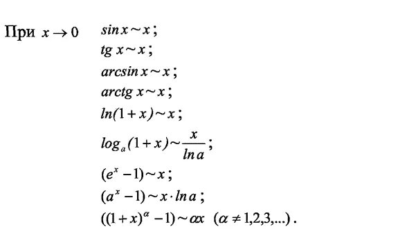
Equivalent functions