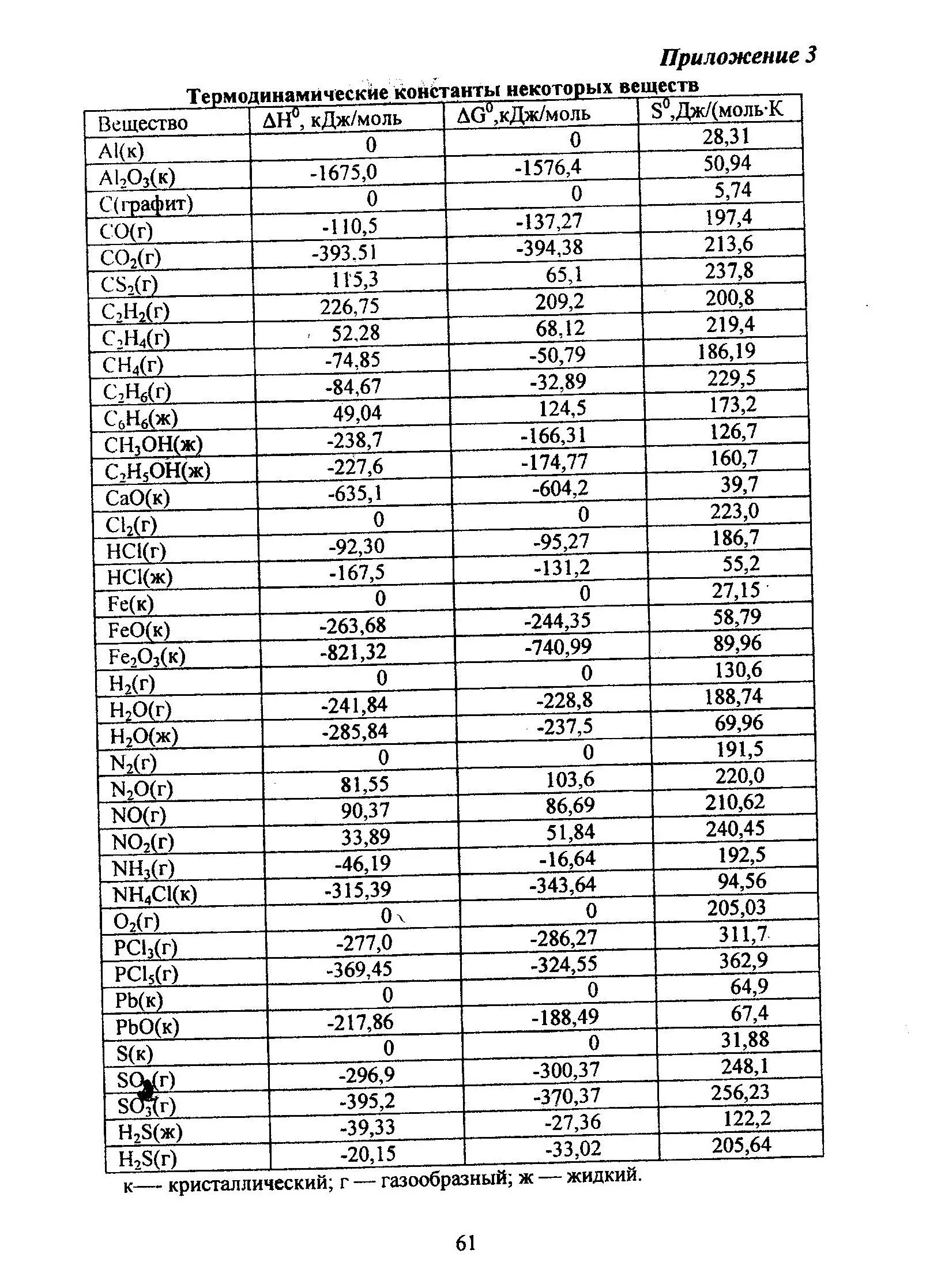
Энергия гиббса so3