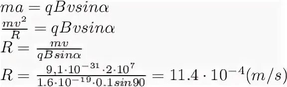
Электрон двигается со скоростью