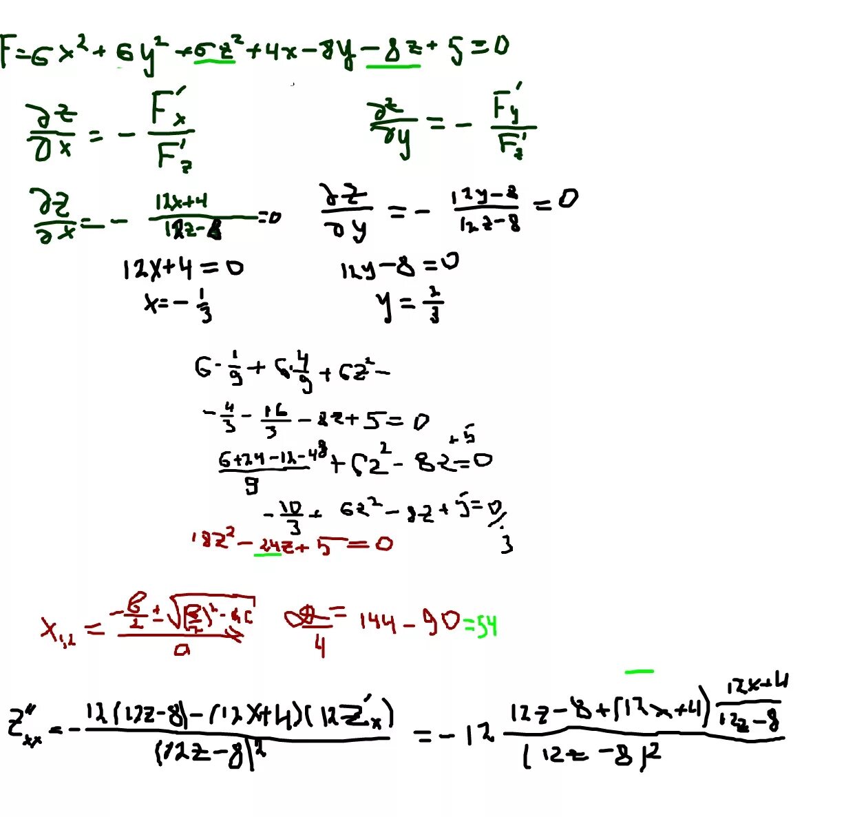
Экстремум неявной функции