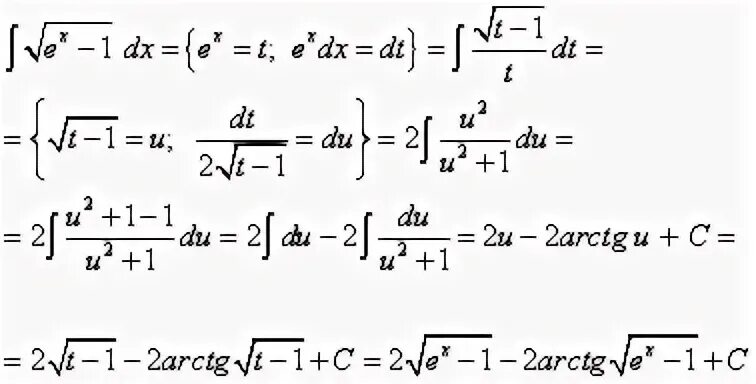
E x e x x решить