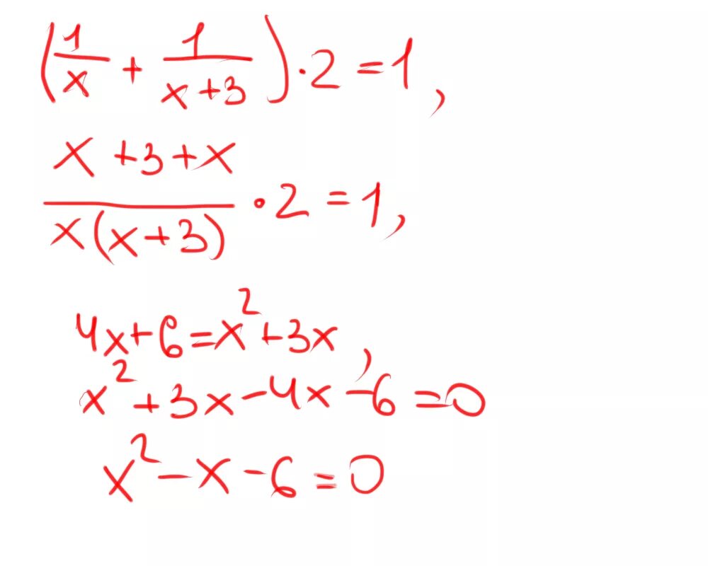
Две трубы наполняют бассейн за 2