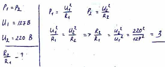
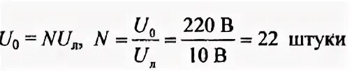
Две одинаковые лампы рассчитанные на напряжение 220в