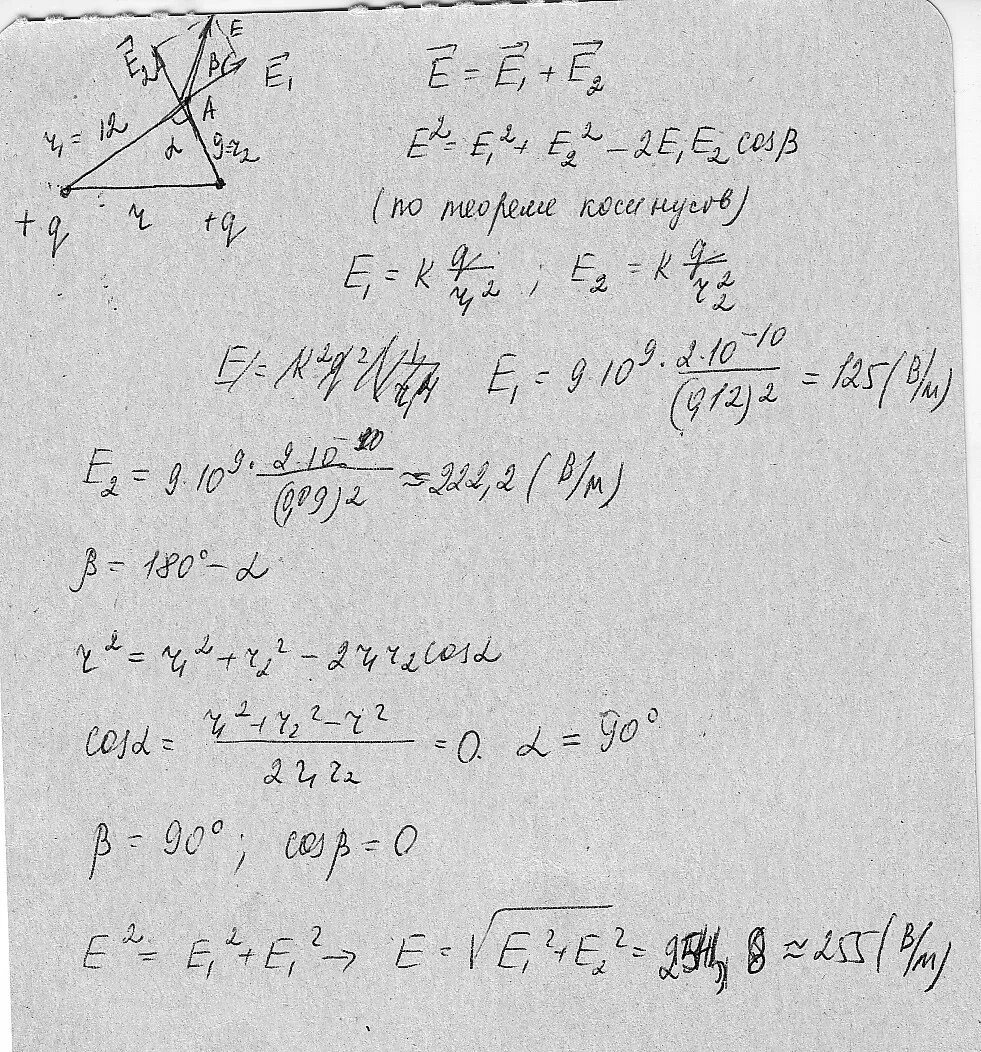
Два заряда по 1 2 10 9