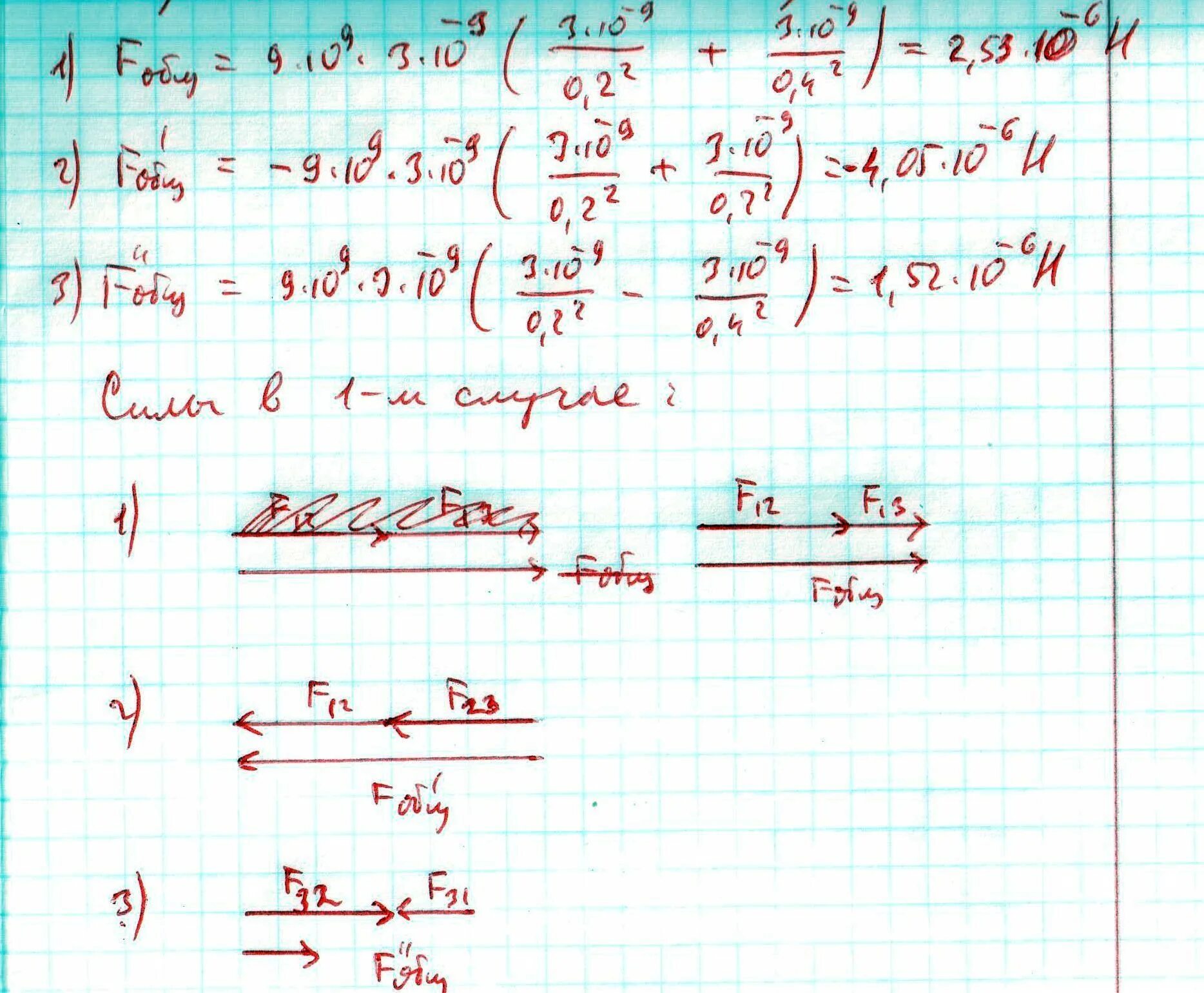
Два точечных заряда q1 9 10