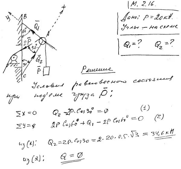
Два строителя несут груз массой 80