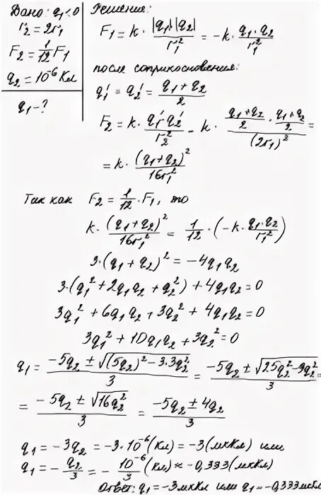
Два одноименных заряженных металлических шарика