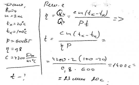
Два нагревателя мощностью 600