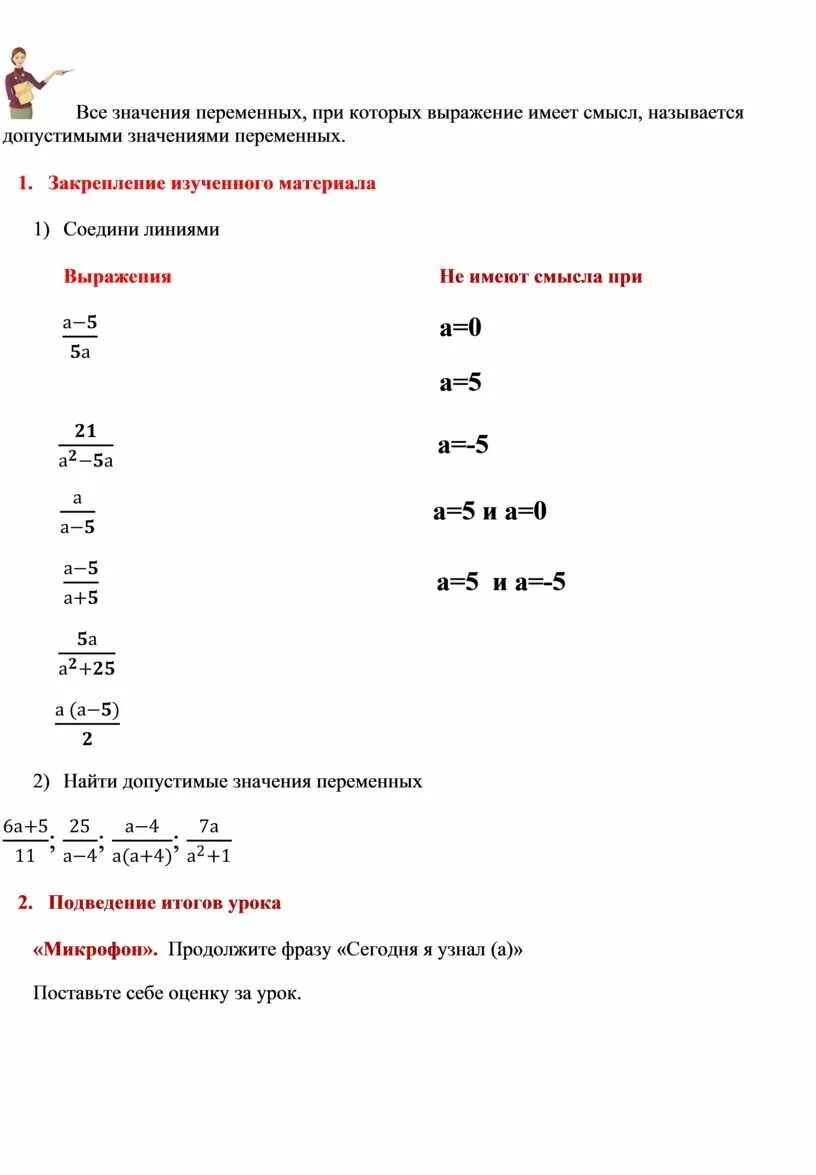
Допустимыми значениями переменных называют