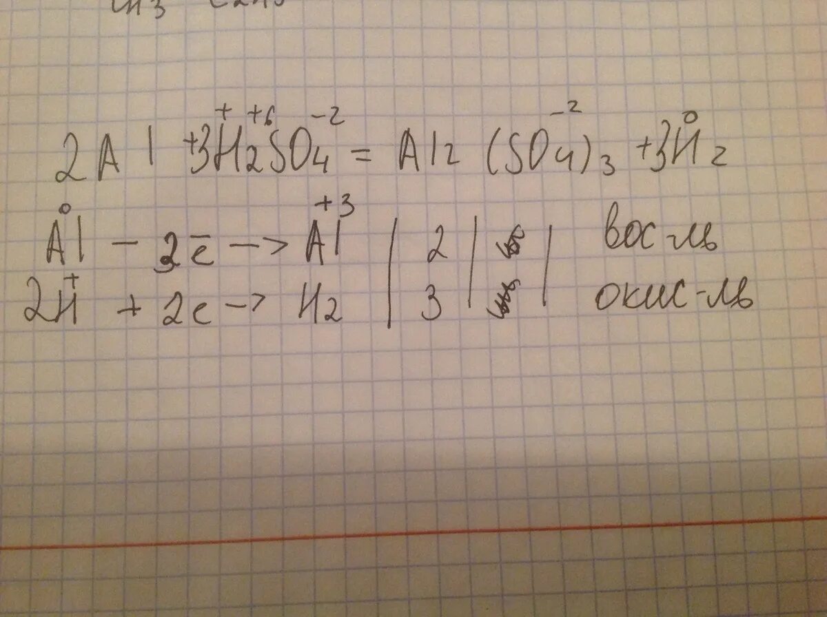
Допишите уравнения al h2so4