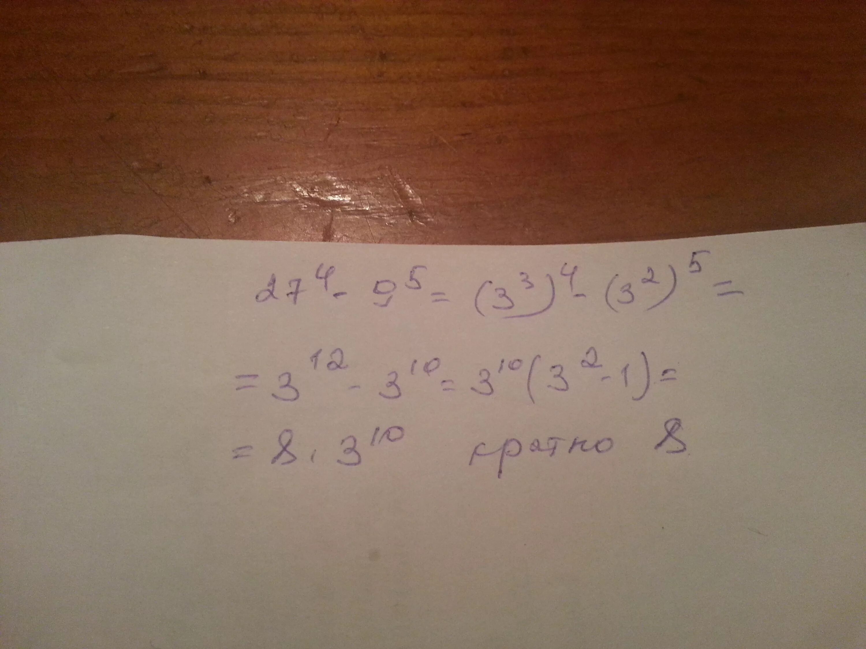
Докажите что значение выражения 27