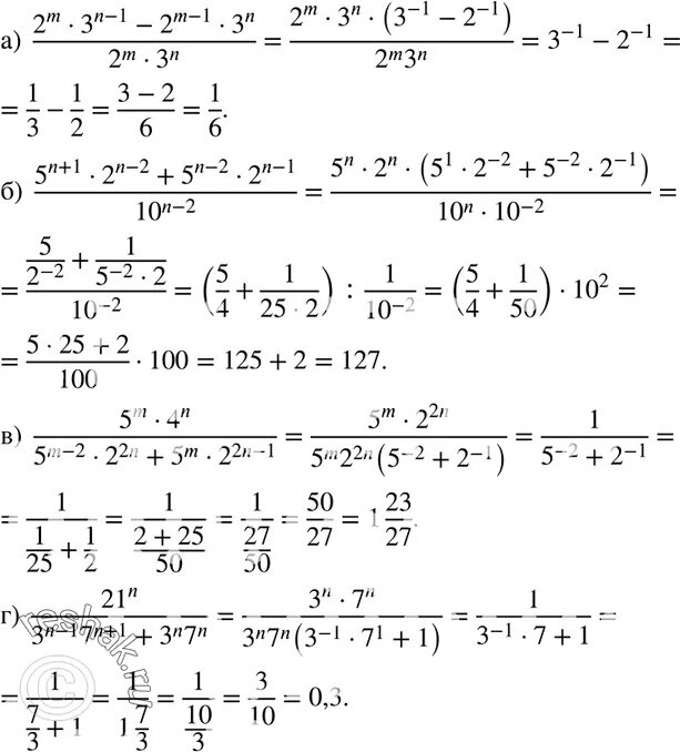
Докажите что выражение принимает лишь положительное значение