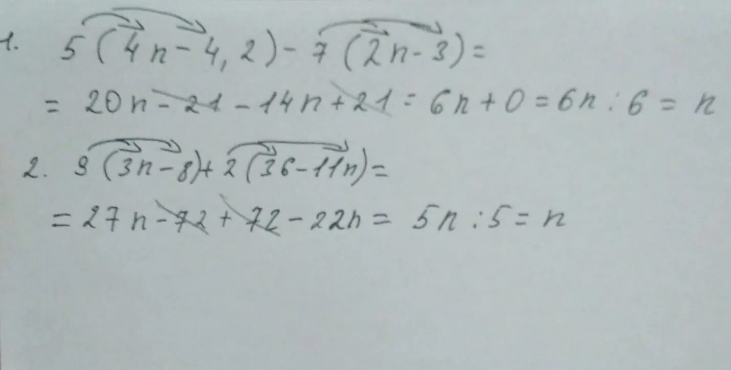
Докажите что выражение кратно 3