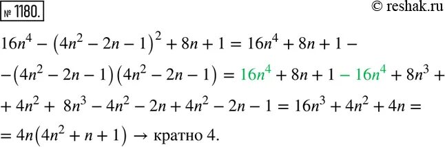
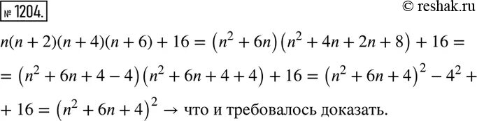
Докажите что при любом натуральном n