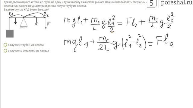
Для подъема 1 и того же груза