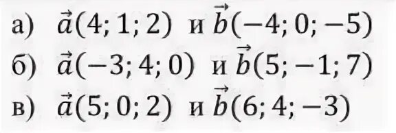
Для данных пар векторов выполните действия