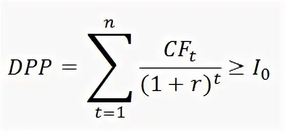
Дисконтированный срок окупаемости dpp