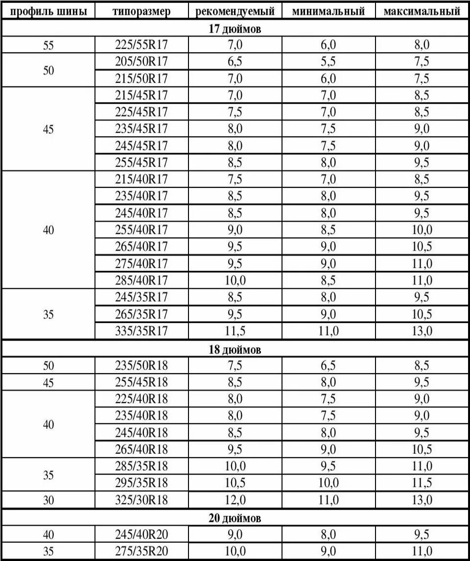
Диски 17 радиус какие шины