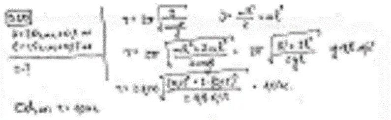
Диск радиусом 24 см колеблется около горизонтальной