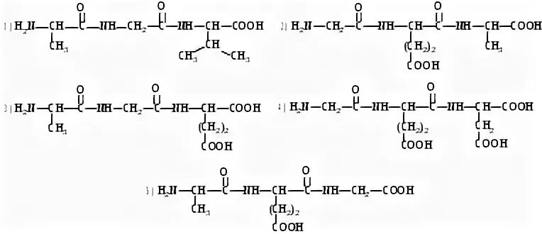
Дипептид реакции