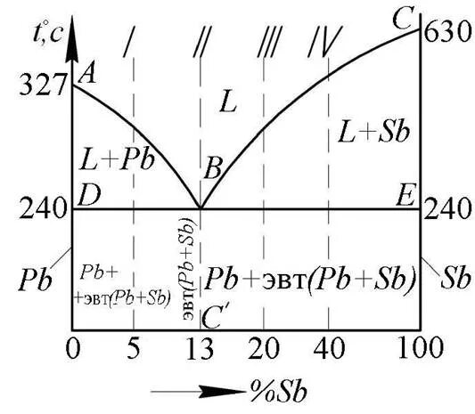
Диаграмма состояния сплавов свинец сурьма