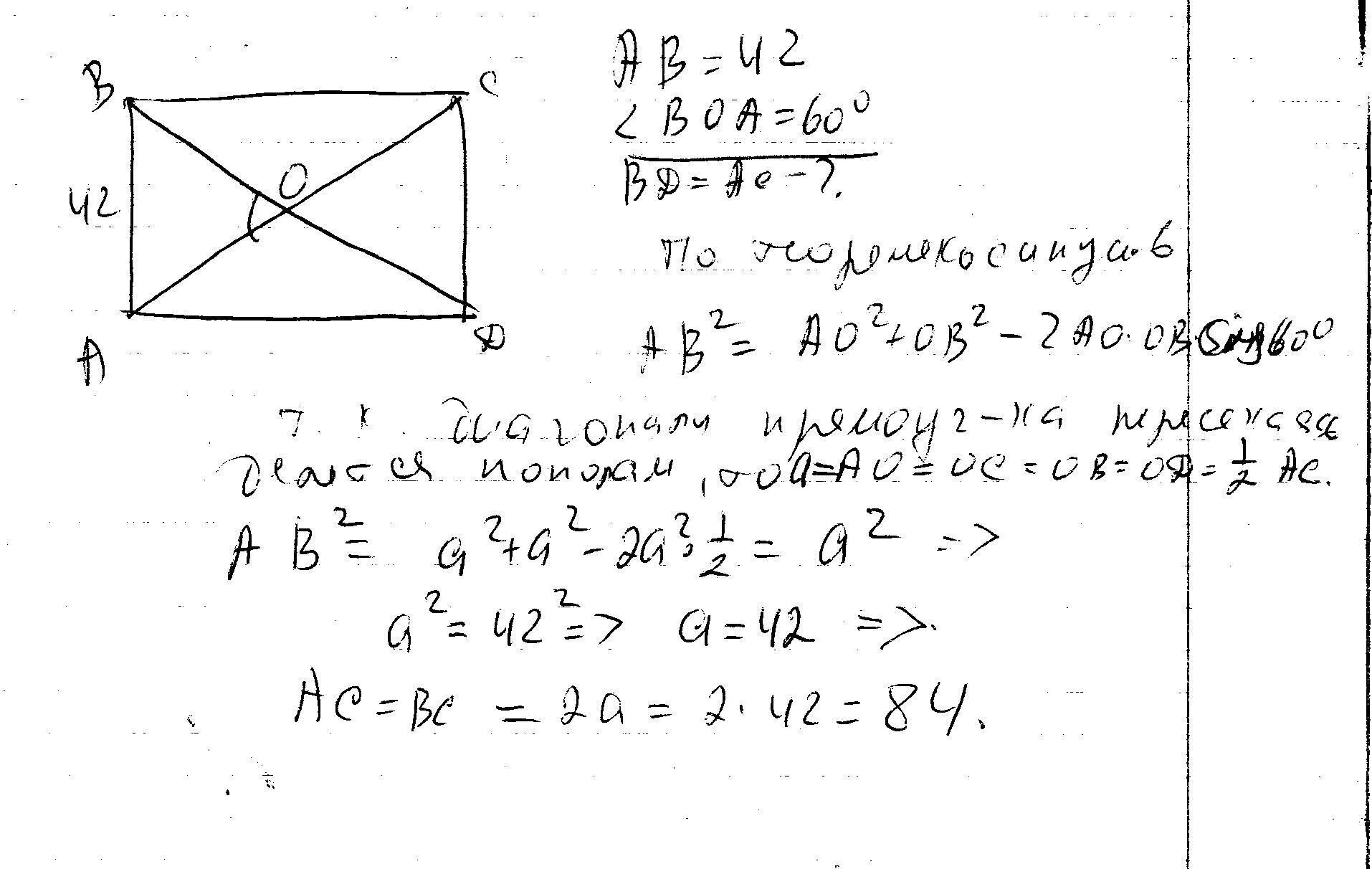
Диагональ прямоугольника abcd равна