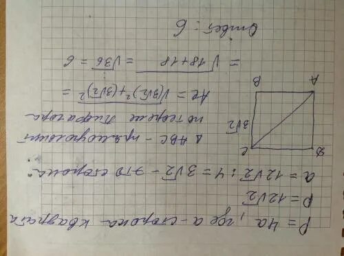
Диагональ квадрата в корень из двух