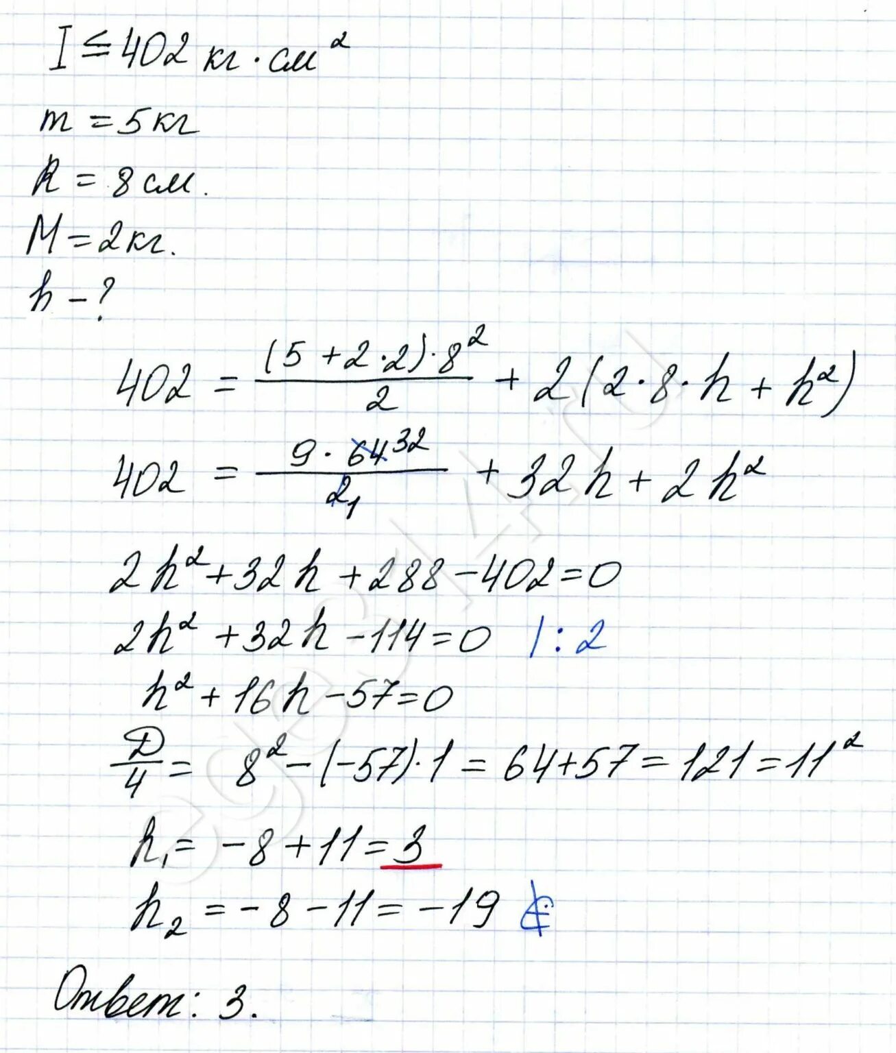
Деталью некоторого прибора является квадратная