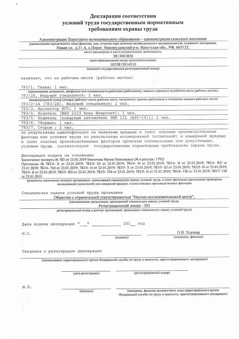
Декларация соответствия условий труда нормативным