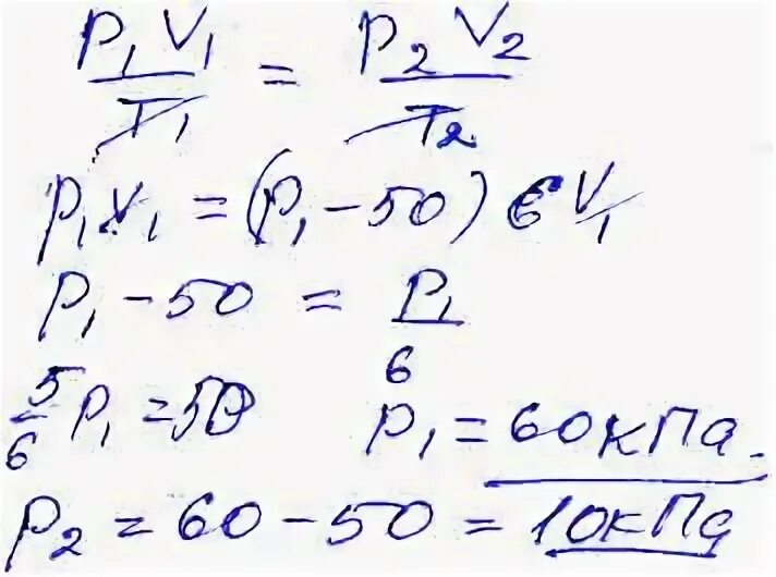
Давление уменьшилось в 6 раз