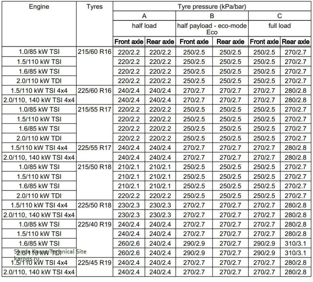
Давление шин 16 размера