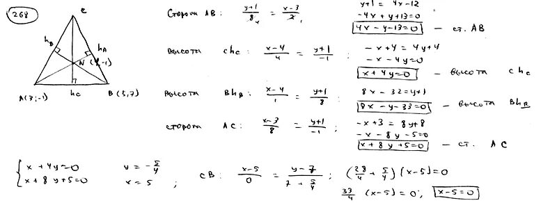
Даны вершины треугольника составить уравнение высот