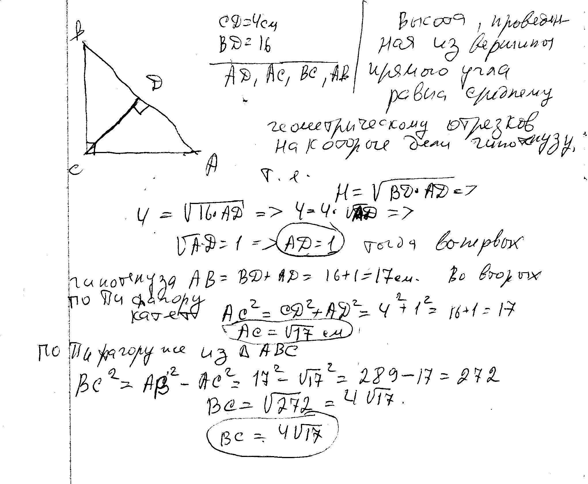
Дано abc прямоугольный угол c 90