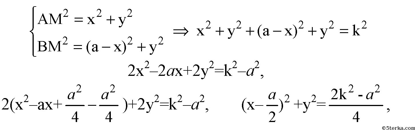
Дано 2 1 найти где 2