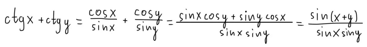
Ctgx 1 cosx 1 0