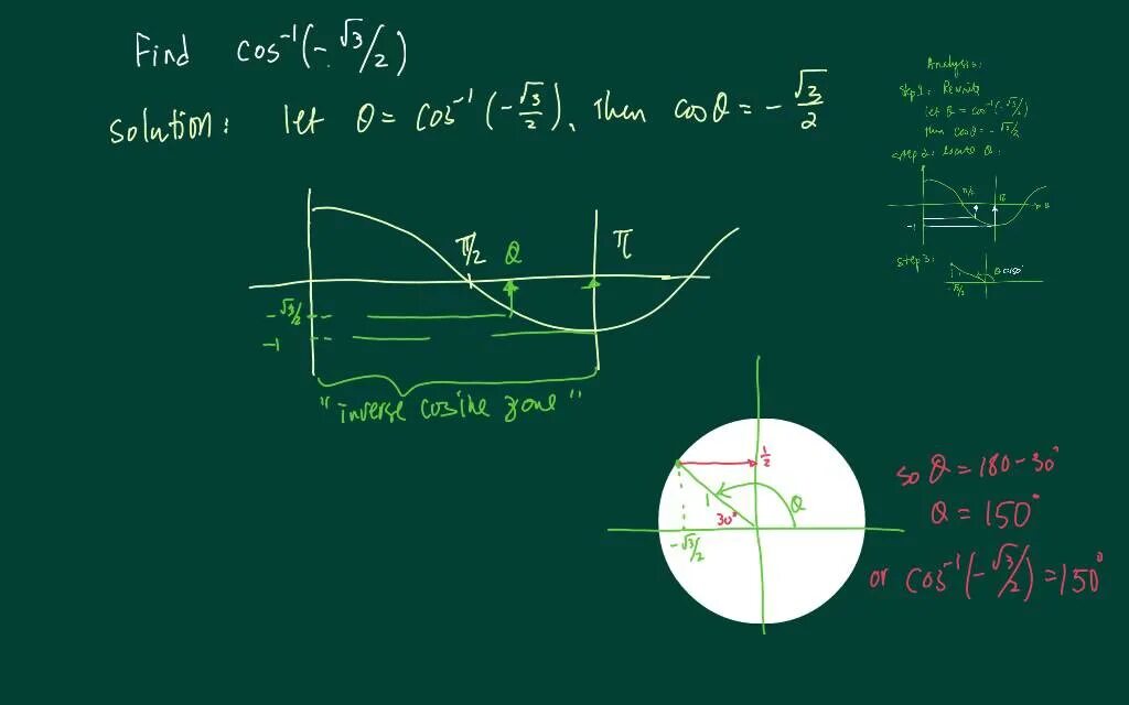
Cosx sqrt 3 2